Предмет: Алгебра,
автор: Airin128
Помогите пожалуйста!!!
x+1+√x+1=6
(Корень из x+1).
Ответы
Автор ответа:
0
I hope this helps you
Приложения:
Автор ответа:
0
sorry I'm gonna edit
Автор ответа:
0
Thanks с:
Автор ответа:
0
you're welcome :))
Автор ответа:
0
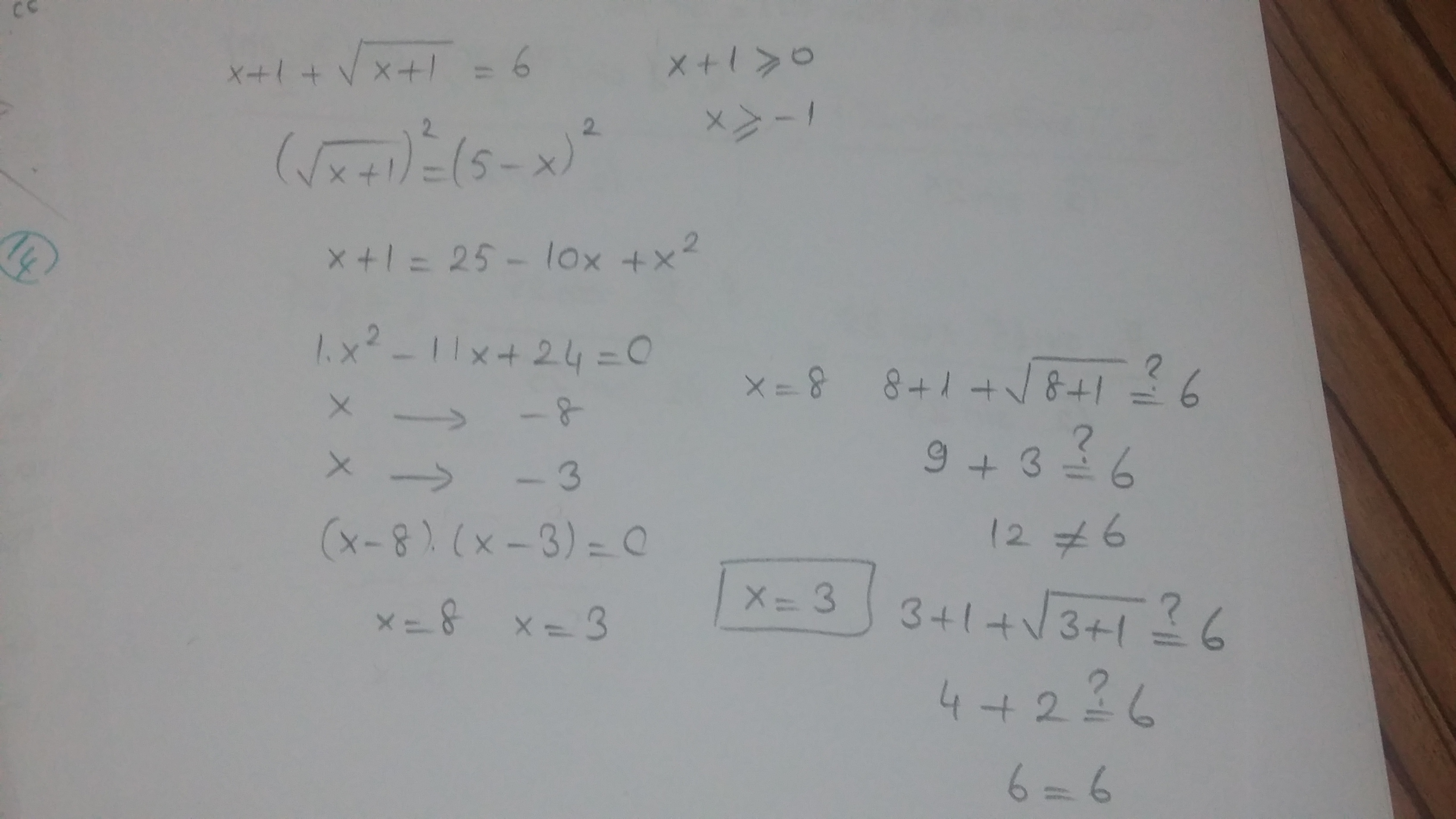
Область допустимых значений уравнения х+1>=0. x>=-1.
Корень из х+1=6-х-1
корень из х+1=5-х. Возведем обе части уравнения в квадрат. Получим:
х+1=25-10х+x^2
x^2-11x+24=0. D=121-96=25=5^2. x1=(11+5)/2=8. x2=(11-5)/2=3
Приложения:
Автор ответа:
0
А, точно, спасибо огромное с:
Похожие вопросы
Предмет: Химия,
автор: burabae1na
Предмет: Русский язык,
автор: ilnurzaripova00
Предмет: Английский язык,
автор: mula93077
Предмет: География,
автор: БВА2004
Предмет: Биология,
автор: Аня2904