Предмет: Алгебра, автор: olesapol

Обчислить интеграл, пожалуйста . Очень надо

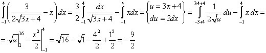
Приложения:

Ответы

Автор ответа: Аноним
0
*************************
Приложения:
Похожие вопросы
Предмет: Русский язык, автор: gafwldqjdmwrk
Выбери предложение, передающее главную информацию текста (один вариант ответа).
Если бы употребление в русском языке иностранных слов и было злом, — оно зло необходимое, корень которого глубоко лежит в реформе Петра Великого, познакомившей нас со множеством до того совершенно чуждых нам понятий, для выражения которых у нас не было своих слов. Поэтому необходимо было чужие понятия и выражать чужими готовыми словами. Некоторые из этих слов так и остались непереведёнными и незаменёнными и потому получили право гражданства в русском словаре.
(По В. Белинскому. Взгляд на русскую литературу 1847 года)

Использование иноязычных слов в русском языке — безусловное зло, поскольку некоторые слова могут так и остаться неосвоенными и войти в словарь в своеём изначальном виде
В обилии иностранных заимствований «виновата» рефора Петра Первого
Некоторые иностранные слова так и остаются неизменёнными и непереведёнными
Употребление иностранных слов в русском языке необходимо в том случае, когда они обозначают неизвестные ранее понятия, для выражения которых у нас не было своих слов
Предмет: Математика, автор: Oblachko71