Предмет: Алгебра, автор: SvetlanaKhomutova

Разложить на множители:
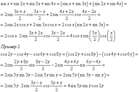
sinX+sin2X+sin3X+sin4X;
cos2Y-cos4Y-cos6Y+cos8Y.
Заранее спасибо^o^

Ответы

Автор ответа: Аноним
0
**************************
Приложения:
Похожие вопросы
Предмет: Химия, автор: natasacom56
Предмет: Алгебра, автор: masha2000003