Предмет: Алгебра,
автор: Аноним
х^2-49
--------------
х^2+9х+14
Дайте полное решение
Надо сократить дробь
^2-это в квадрате
---------это черта деления
Ответы
Автор ответа:
0
Должно быть все понятно
Приложения:
Автор ответа:
0
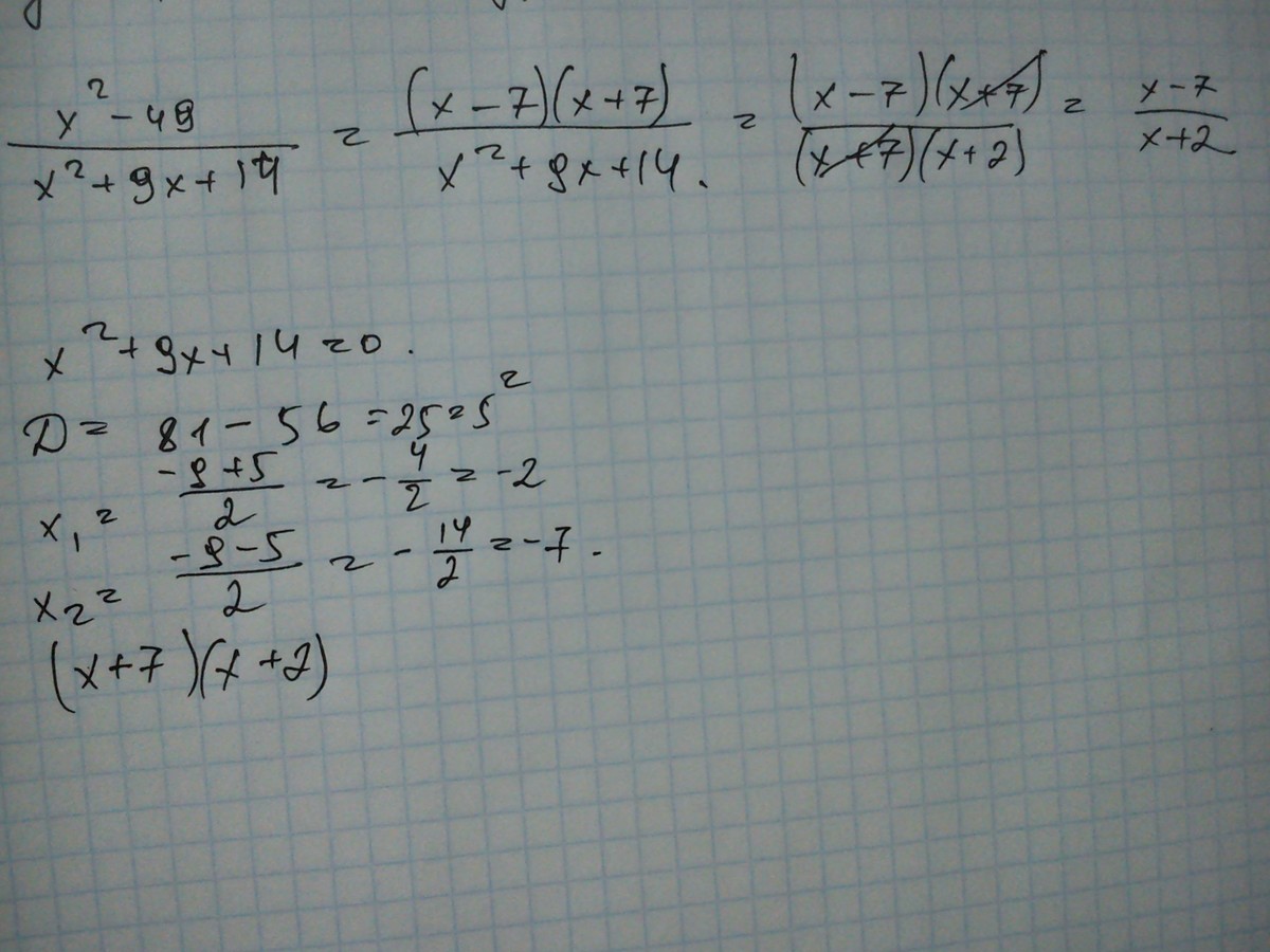
1) X^2 - 49 = (X-7)*(X+7)
2) X^2 + 9X + 14 = 0
D = 81 - 4*1*14 = 81 - 56 = 25
V D = 5
X1 = - 9 + 5 2 = - 4 2 = - 2
X2 = - 9 - 5 2 = - 14 2 = - 7
(X+2)*(X+7)
3) (x-7)*(X+7) (X+2)*(X+7) = X-7 X+2
................................
Получаем: Х - 7 Х + 2
Приложения:
Похожие вопросы
Предмет: Химия,
автор: Vova222222
Предмет: Английский язык,
автор: Sidelnikovamasa939
Предмет: Информатика,
автор: milpops6
Предмет: Математика,
автор: alenohkakisterko
Предмет: Алгебра,
автор: KateOrange