Предмет: Алгебра,
автор: AVRORA444
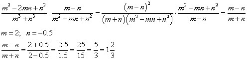
Найдите значение выражения: m^2-2mn+n^2/m^3+n^3 : m-n/m^2-mn+n^2 при m=2, n=-0.5
Ответы
Автор ответа:
0
решение смотри на фотографии
Приложения:
Автор ответа:
0
*****************************
Приложения:
Похожие вопросы
Предмет: Алгебра,
автор: kezina2021
Предмет: Математика,
автор: iwmiw
Предмет: Литература,
автор: Vika21458
Предмет: Математика,
автор: 7547842