Предмет: Алгебра,
автор: 145Na
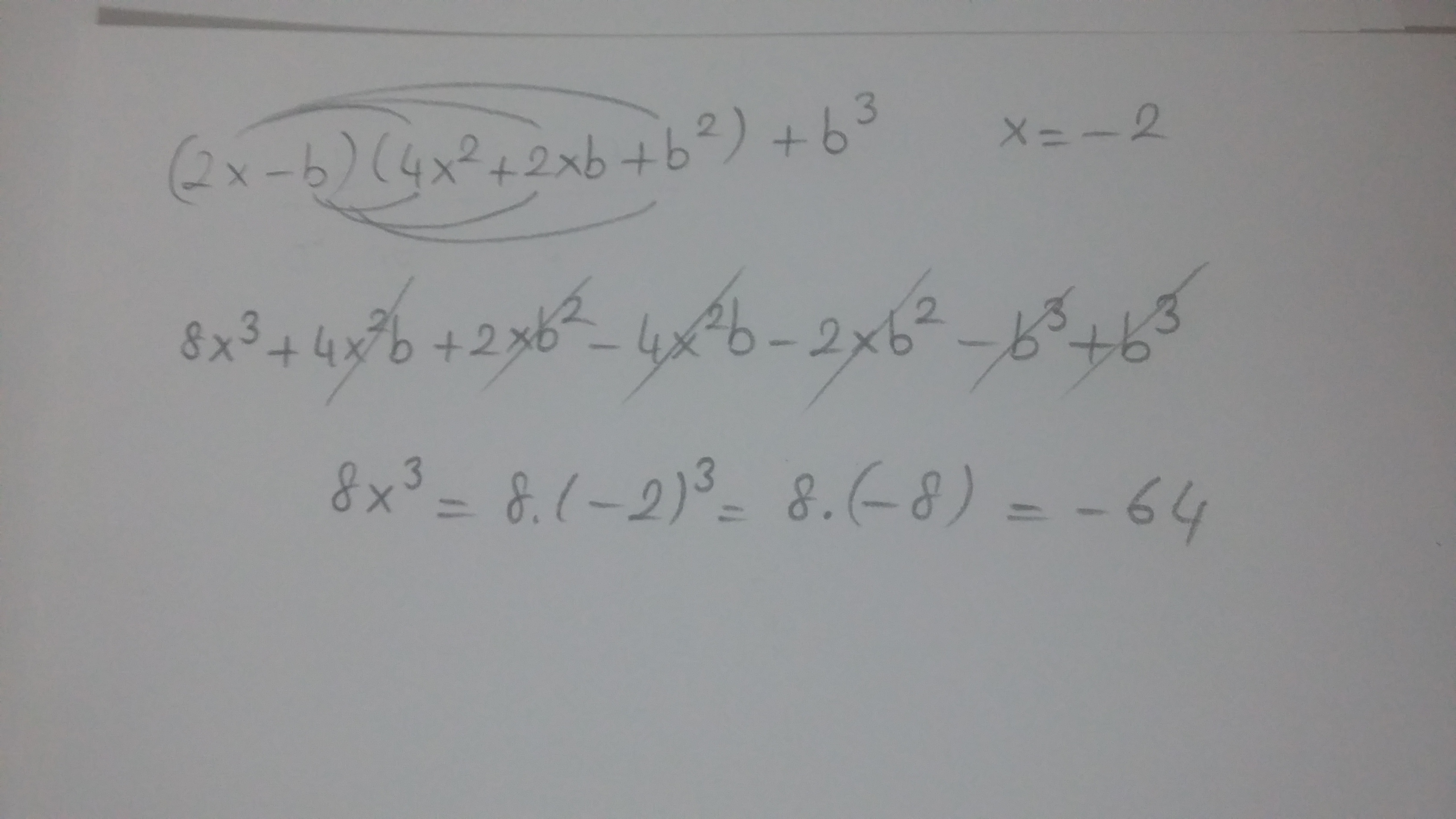
Упростите и найдите значение. (2x-b)(4x^2+2xb+b^2)+b^3. При x=(-2).
Ответы
Автор ответа:
0
I hope this helps you
Приложения:
Похожие вопросы
Предмет: Химия,
автор: jfjnjhbdjjrj
Предмет: Математика,
автор: Аноним
Предмет: Математика,
автор: aminar05ru
Предмет: Математика,
автор: mariamedyantse