Предмет: Алгебра,
автор: ГОСТЬ2014
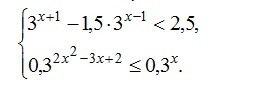
Помогите решить систему
Приложения:
Ответы
Автор ответа:
0
*************************
Приложения:
Похожие вопросы
Предмет: Другие предметы,
автор: sonyaava80
Предмет: Геометрия,
автор: fierien
Предмет: Математика,
автор: 2009swetik
Предмет: Литература,
автор: Тоха2908
Предмет: Математика,
автор: Аноним