Предмет: Алгебра,
автор: Nataschka1
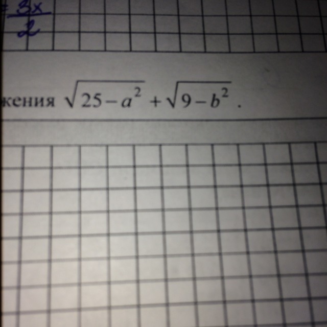
Найдите наибольшее значение выражения
Приложения:
Ответы
Автор ответа:
0
25 - a^2 >= 0 --> (5-a)(5+a) >= 0 --> a ∈ (-5;5)
9 - b^2 >= 0 --> (3-b)(3+b) >= 0 --> b ∈(-3;3)
Это мы узнали все допустимые значения a и b под корнем
Нам нужно, чтобы число было больше, поэтому мы вычитаем ноль(он же входит в допустимые значения)
дальше подставляем в формулу, получаем:
√25 + √9 = 5 + 3 = 8
9 - b^2 >= 0 --> (3-b)(3+b) >= 0 --> b ∈(-3;3)
Это мы узнали все допустимые значения a и b под корнем
Нам нужно, чтобы число было больше, поэтому мы вычитаем ноль(он же входит в допустимые значения)
дальше подставляем в формулу, получаем:
√25 + √9 = 5 + 3 = 8
Автор ответа:
0
Допустимые значения я через интервалы находил, если что
Похожие вопросы
Предмет: Физика,
автор: Аноним
Предмет: Другие предметы,
автор: Аноним
Предмет: Литература,
автор: lembroy
Предмет: Математика,
автор: Аноним
Предмет: Литература,
автор: Das780