Предмет: Алгебра,
автор: jdxyjglgus
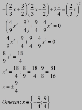
Решите уравнение:::::::::::::
Приложения:
Ответы
Автор ответа:
0
Доброй ночи! Ответ смотри ниже!
Приложения:
Похожие вопросы
Предмет: История,
автор: bbbmy
Предмет: Английский язык,
автор: Аноним
Предмет: Математика,
автор: okga921
Предмет: Физика,
автор: оимсотир
Предмет: Экономика,
автор: Lemrhk