Предмет: Алгебра,
автор: Typicha2016
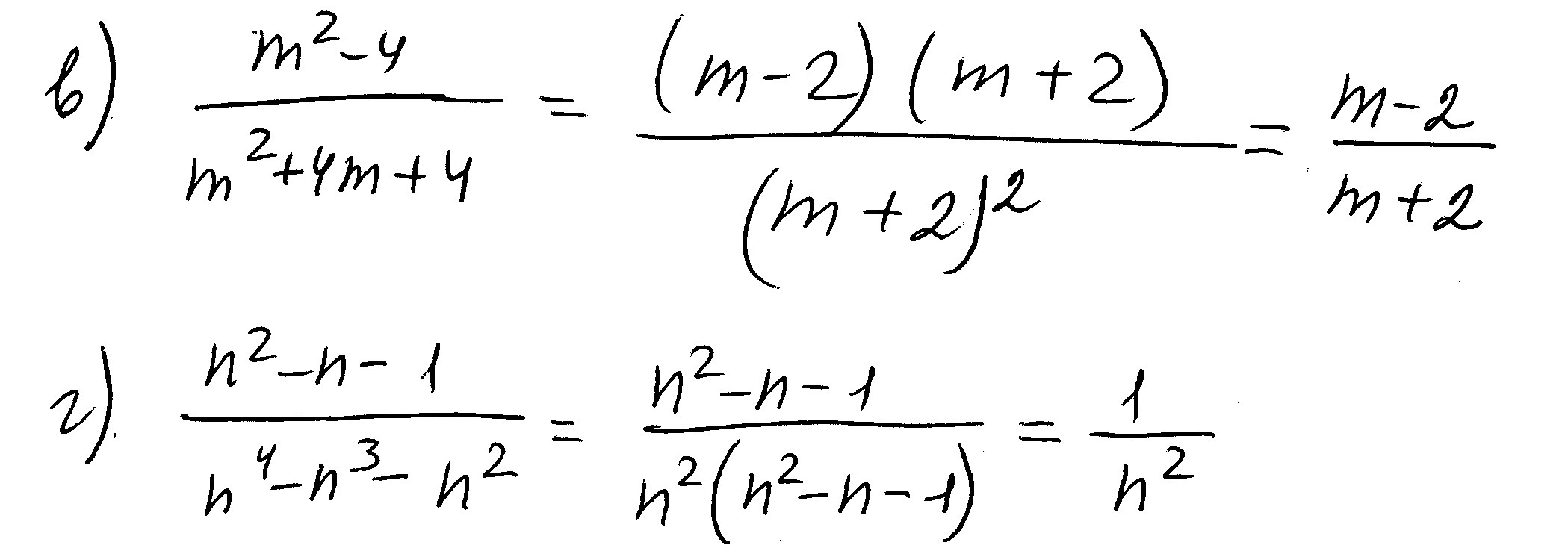
Сократите дробь. Предварительно разложить числитель и знаменатель дроби на множители: в) m^2-4/
m^2+4m+4=
г)n^2-n-1 / =
n^4-n^3-n^2
Ответы
Автор ответа:
0
(m²-4)/(m²+4m+4)=(m+2)(m-2)/(m+2)(m+2)=(m-2)/(m+2), m≠-2
(n²-n-1)/(nˇ4-n³-n²)=(n²-n-1)/n²(n²-n-1)=1/n², n≠0,n²-n-1≠0
(n²-n-1)/(nˇ4-n³-n²)=(n²-n-1)/n²(n²-n-1)=1/n², n≠0,n²-n-1≠0
Автор ответа:
0
решение во вложенном файле
Приложения:
Похожие вопросы
Предмет: Обществознание,
автор: Аноним
Предмет: Математика,
автор: finiki33
Предмет: Алгебра,
автор: zulunovaferuza8
Предмет: Алгебра,
автор: wraith1
Предмет: Математика,
автор: настюня123