Предмет: Алгебра, автор: BakT11

Вычислить площадь фигуры S (задана системой неравенств):
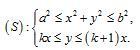
a=1; b=2; k=0

Приложения:

Ответы

Автор ответа: moboqe
0
D:begin{cases} 1leq x^2+y^2 leq 4\ 0leq yleq x end{cases}\\ x^2+y^2= 1,r^2=1,boldsymbol{r=1}\ x^2+y^2= 4, r^2=4,boldsymbol{r=2}\ y= 0,rsin{phi}=0\ y= x,rsin{phi}= rcos{phi},sin{phi}= cos{phi}\Rightarrow boldsymbol{phiinleft [0;{piover4} right ]} begin{cases}x=rcos{phi}\y=rsin{phi} end{cases}\\ S=iint_D=int_{0}^{piover4}mathrm d{phi}int_{1}^{2}rmathrm dr={3over2}phi|_{0}^{piover4}={3over2}cdot{piover4}={3piover8}
Похожие вопросы
Предмет: Алгебра, автор: kenkiyak
Предмет: Химия, автор: rz7469249
Предмет: Английский язык, автор: anna346612