Предмет: Алгебра,
автор: lizasinitsina
ПОМОГИТЕ ПОЖАЛУЙСТА СРОЧНО РЕШИТЬ УРАВНЕНИЕ!!!! ДОЛГО ЖДАТЬ НЕ МОГУ!!!!!
Приложения:
Ответы
Автор ответа:
0
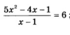
5x²-4x-1=6x-6
5x²-4x-1-6x+6=0
5x²-10x+5=0
5(x²-2x+1)=0
x²-2x+1=0
x=1
5x²-4x-1-6x+6=0
5x²-10x+5=0
5(x²-2x+1)=0
x²-2x+1=0
x=1
Похожие вопросы
Предмет: Алгебра,
автор: kowalovasofa
Предмет: Математика,
автор: sashashvydchenko09
Предмет: Английский язык,
автор: vitas1977
Предмет: Физика,
автор: baranovabarabova
Предмет: Информатика,
автор: ufli228