Предмет: Алгебра,
автор: RChane
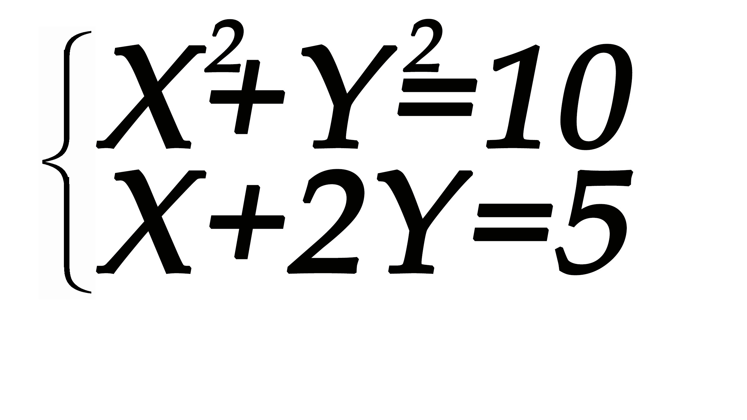
Решите систему уравнений
Приложения:
Ответы
Автор ответа:
0
I hope this helps you
Приложения:
Автор ответа:
0
you're welcome :)
Похожие вопросы
Предмет: Физика,
автор: raywiguki
Предмет: Химия,
автор: savdasha2504
Предмет: Физика,
автор: nikitachurakov2008
Предмет: Литература,
автор: mariomar2013