Предмет: Математика,
автор: 0sveta0
Решите уравнение (иррациоальное уравнение)
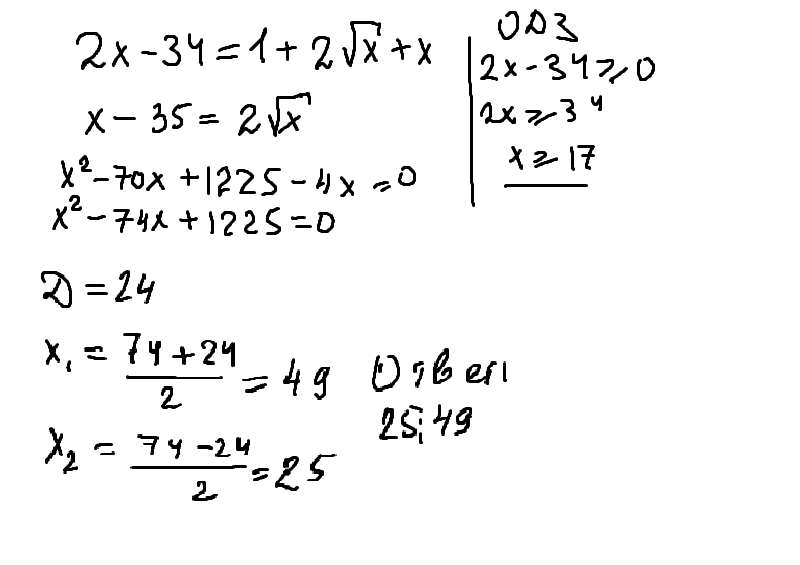
√2x-√34=1+√x
Приложения:
Ответы
Автор ответа:
0
2x-34=1+x+2sqrt(x)
x-35=2sqrt(x)
x^2-74x+1225=0
x=37+-12
x=25
x=49
Автор ответа:
0
см. вложение
==============================
Приложения:
Похожие вопросы
Предмет: Алгебра,
автор: yanaaa1330
Предмет: Английский язык,
автор: Аноним
Предмет: Қазақ тiлi,
автор: loplop228
Предмет: Геометрия,
автор: епи