Предмет: Химия,
автор: wtfprotez011
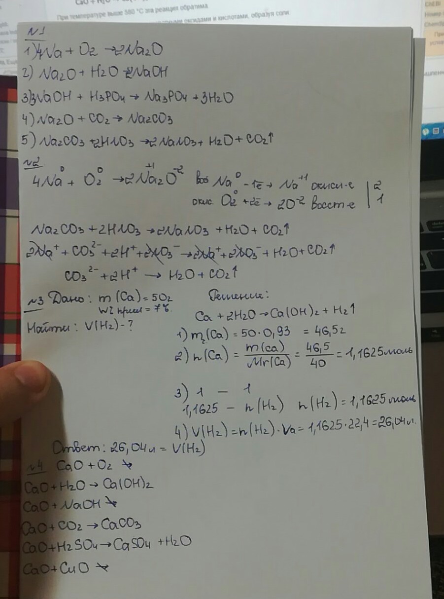
СРОЧНО! Работа по химии.
Приложения:
Ответы
Автор ответа:
0
……………………………………………………………
Приложения:
Похожие вопросы
Предмет: Литература,
автор: Аноним
Предмет: Биология,
автор: vlad77udm
Предмет: Английский язык,
автор: bogdanahe07
Предмет: Информатика,
автор: thyrtie