Предмет: Математика,
автор: Queen102938
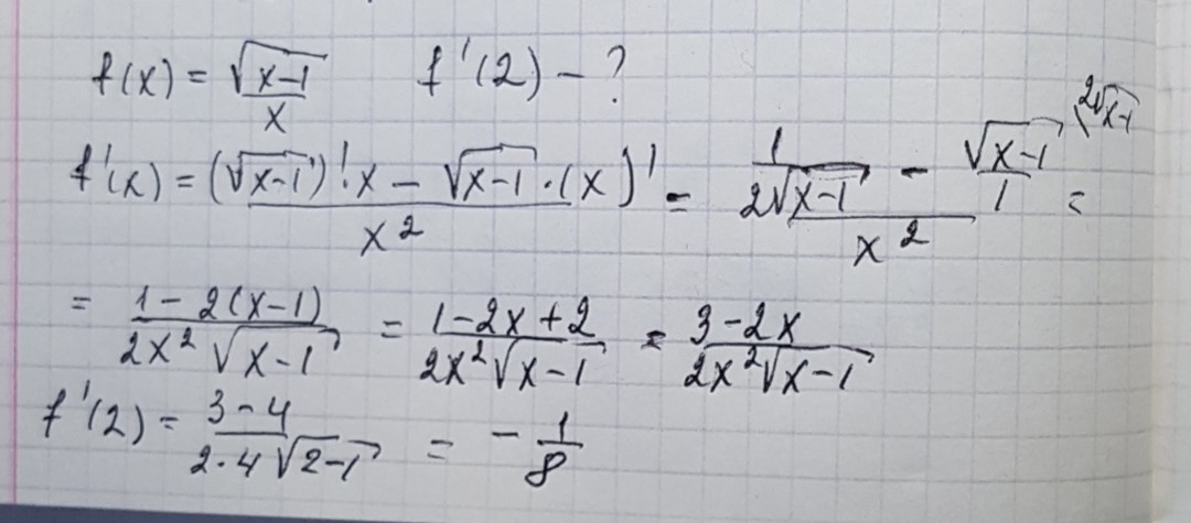
f(x)=√x-1x то f'(2)?
Ответы
Автор ответа:
0
решение задания смотри на фотографии
Приложения:
Похожие вопросы
Предмет: Математика,
автор: boy796797
Предмет: Қазақ тiлi,
автор: aminayrym507
Предмет: Английский язык,
автор: Аноним
Предмет: Математика,
автор: Икс11
Предмет: Литература,
автор: aaaaaaaaaaa2