Предмет: Алгебра, автор: dgfdsg

помогите решить неравенство
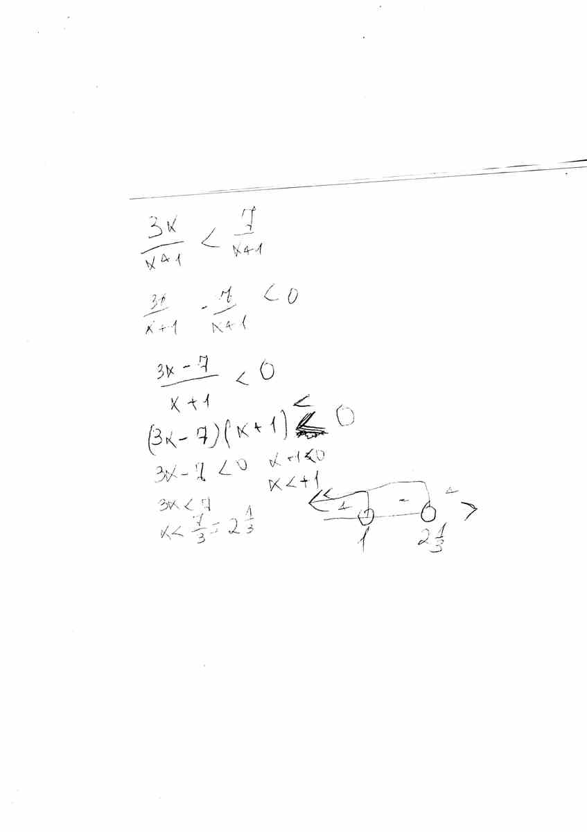
3х <  7

х+1  х+1

Ответы

Автор ответа: nikitaaz
0

========================================

Приложения:
Похожие вопросы
Предмет: География, автор: nastayarova
Предмет: Қазақ тiлi, автор: dias6360
Предмет: Математика, автор: Аноним
Предмет: Алгебра, автор: Rubickstyle
Предмет: Химия, автор: Egor2209