Предмет: Алгебра,
автор: САНИШКА007
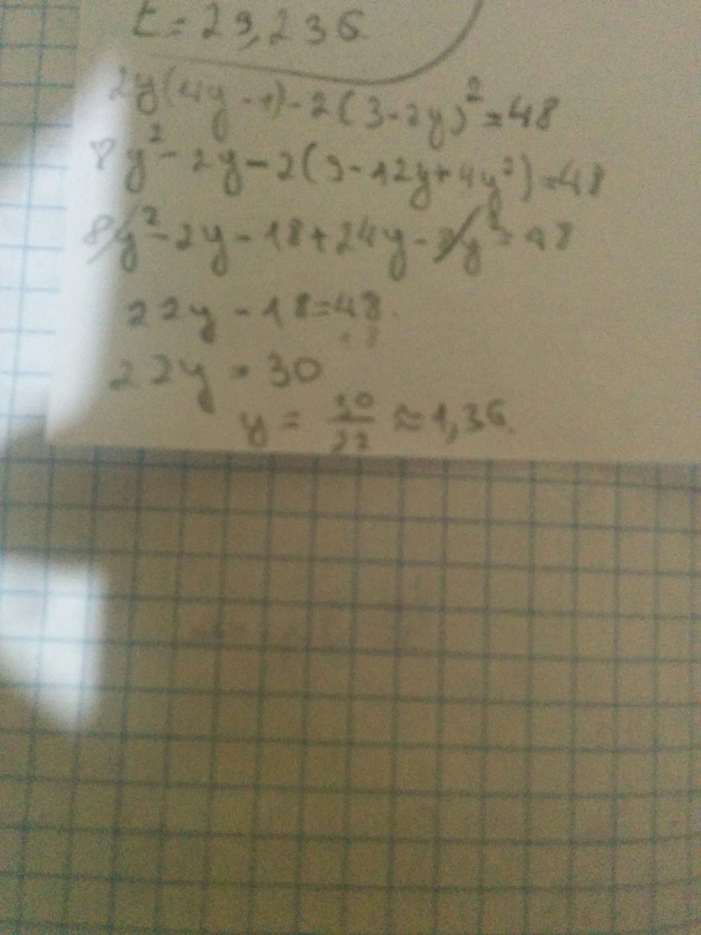
2y (4y-1)-2 (3-2y)^2=48
Ответы
Автор ответа:
0
вроде так будет сами еще попробуйте
Приложения:
Похожие вопросы
Предмет: Русский язык,
автор: rz7469249
Предмет: Математика,
автор: angelinapismichenko
Предмет: География,
автор: nikolaikozur2005
Предмет: Литература,
автор: ZhenyaZhenya1342
Предмет: Литература,
автор: akaeva333