Предмет: Математика,
автор: vika1381
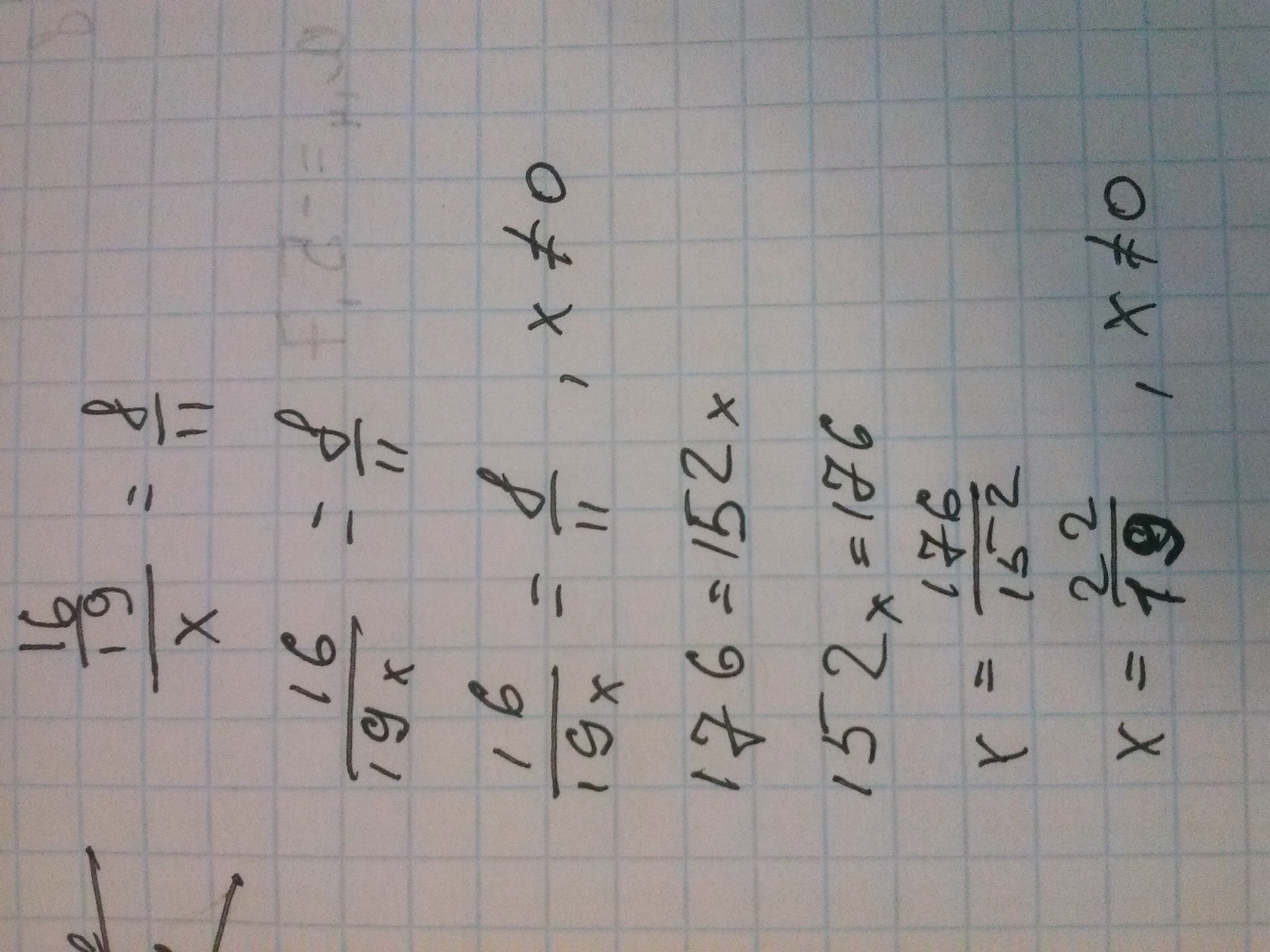
16/19:x=8/11 дроби
помогите пжжээээ люди
Ответы
Автор ответа:
0
Если что-то не понятно пишите .
Приложения:
Похожие вопросы
Предмет: Геометрия,
автор: Shmatovasofia
Предмет: Оʻzbek tili,
автор: bmamatqulova36
Предмет: Английский язык,
автор: aruzanisatova
Предмет: Геометрия,
автор: Sims4321
Предмет: Алгебра,
автор: кит429