Предмет: Математика,
автор: 8FenixXx8
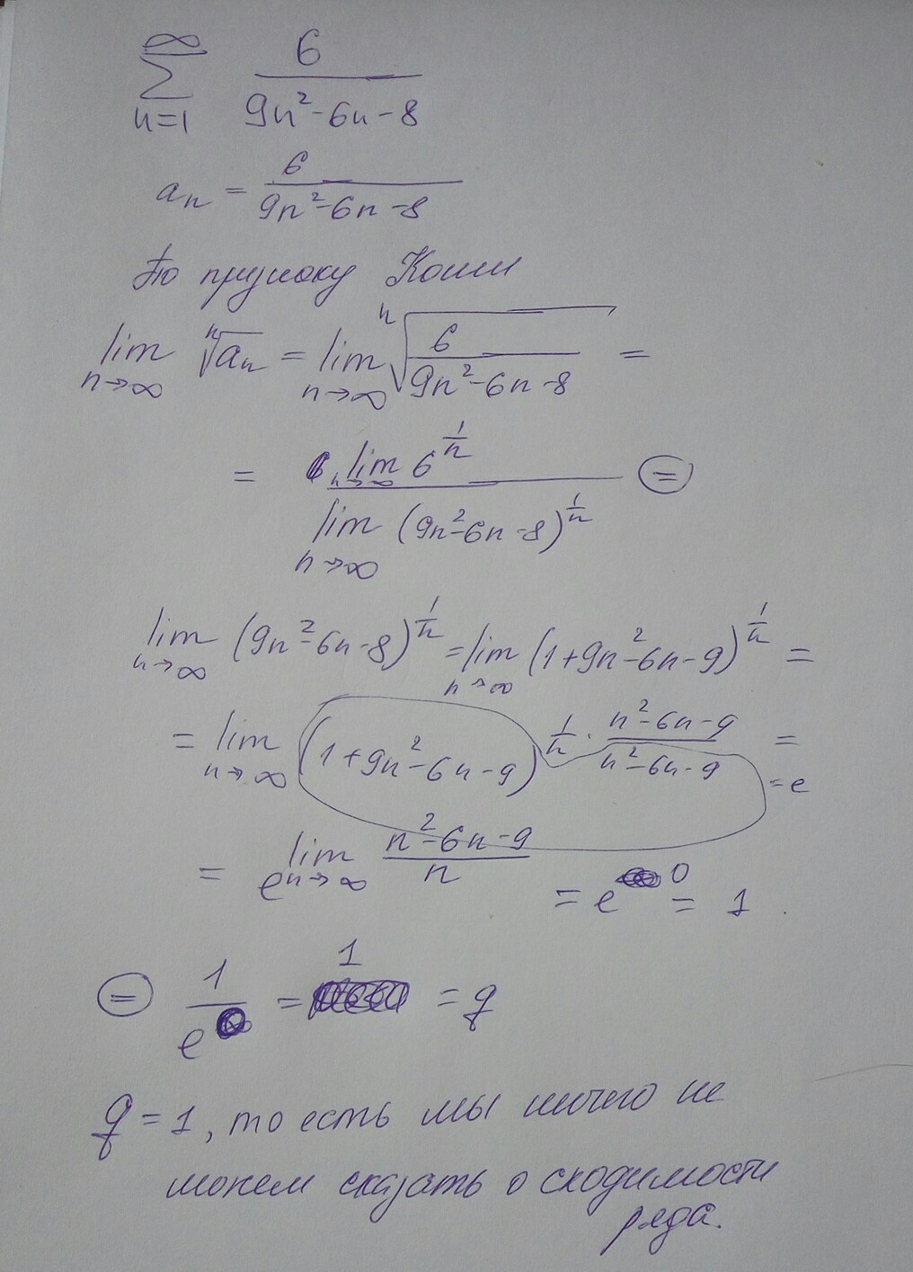
Срочно ! Исследовать сходимость ряда по признаку Коши
Приложения:
Ответы
Автор ответа:
0
Решение смотрите в приложении
Приложения:
Похожие вопросы
Предмет: Математика,
автор: Аноним
Предмет: Литература,
автор: plus6sams
Предмет: Геометрия,
автор: mabze
Предмет: Биология,
автор: Pechenьka1