Предмет: Алгебра,
автор: InTheTardis
Помогите решить уравнения:
1) – 5 + 5(– x – 2(x – 4)) = 7(5 – 2x) – x
2) в файлах
Приложения:
Ответы
Автор ответа:
0
Уравнение, во вложении (2)
Приложения:
Автор ответа:
0
Думаю,что в 1 номере(да я не думаю,а получается,что нет решения....)
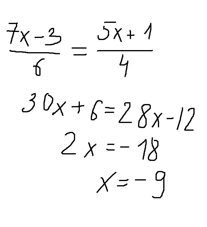
2)
4(7х-3)=6(5х+1)
28х-12=30х+6
-2х=18
х= -9
Ответ: -9
Приложения:
Похожие вопросы
Предмет: Українська мова,
автор: vitaliu988
Предмет: Қазақ тiлi,
автор: nagert190
Предмет: Химия,
автор: Аноним
Предмет: Алгебра,
автор: Kdd
Предмет: Математика,
автор: 22022512