Предмет: Математика,
автор: Marlboro699
Срочно, плееес((9
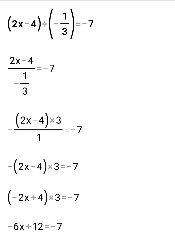
Решительно уравнения: а) (2х - 4):(-1/3)=-7; б) у:3 2/9=- 8/93; в) |2-у|:(-2/5)=-1 13/32.
Ответы
Автор ответа:
0
Вот решение да кстати у меня не уместилось решение в) оно но ответ x=196
Приложения:
Похожие вопросы
Предмет: Физика,
автор: lindatsulaeva2752
Предмет: Информатика,
автор: lenarunkova240984
Предмет: Информатика,
автор: lenarunkova240984
Предмет: Математика,
автор: миха100