Предмет: Алгебра,
автор: dghiyey567
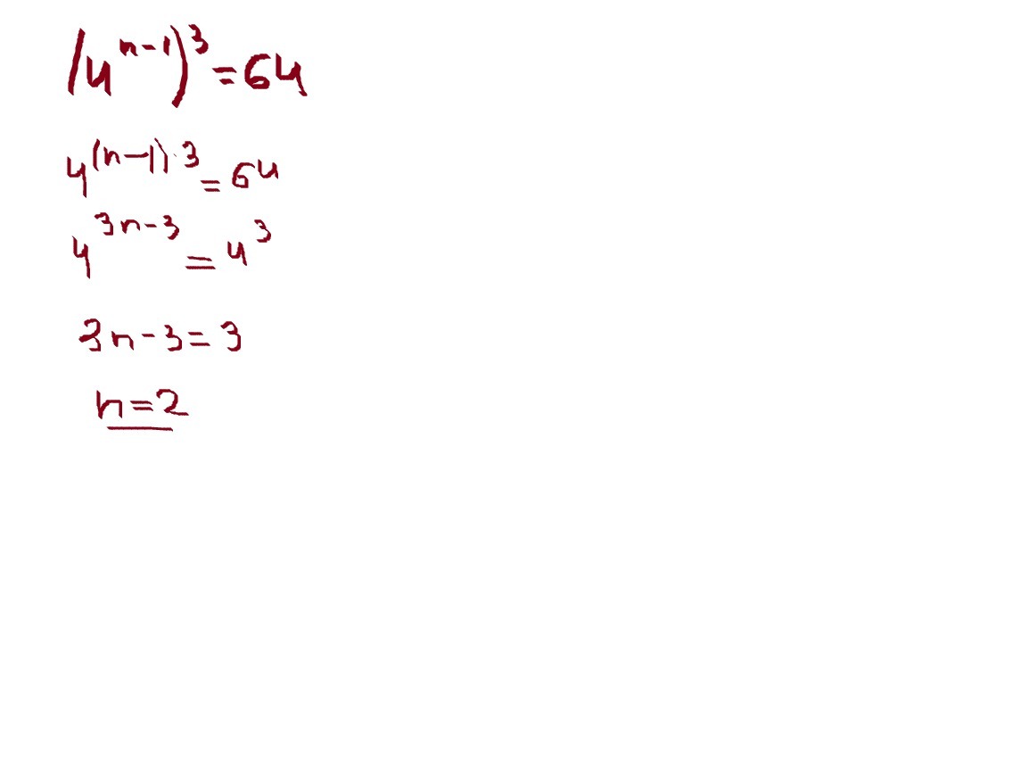
При каком значении n n верно равенство (4n−1)^3 =64
Ответы
Автор ответа:
0
Vashe zadanie resheno
Приложения:
Автор ответа:
0
добавил
Автор ответа:
0
I hope this helps you
Приложения:
Похожие вопросы
Предмет: Математика,
автор: alinaivanova080981
Предмет: История,
автор: anatolijzotov8
Предмет: Математика,
автор: Аноним
Предмет: Математика,
автор: evgensportsmen