Предмет: Алгебра,
автор: Астя07
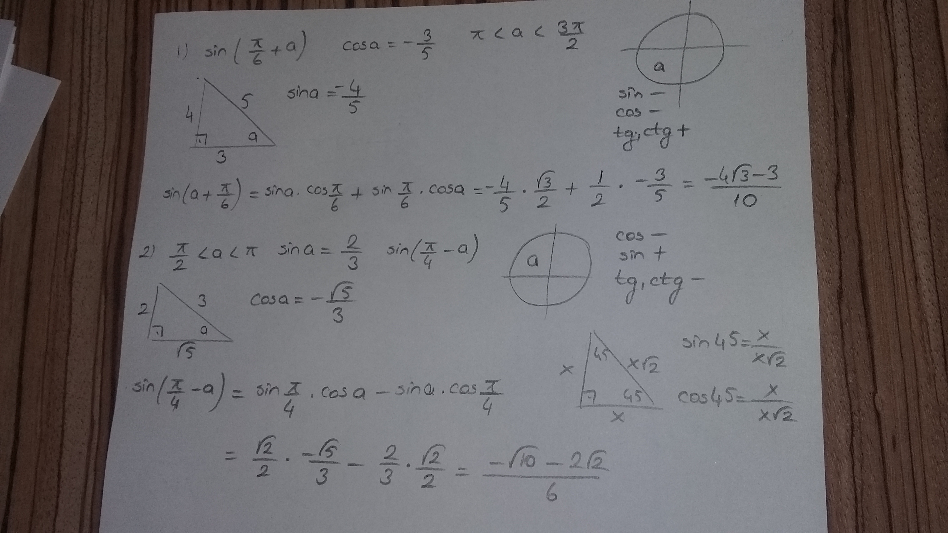
Вычислить
1) sin (a+П/6),если cos a=-3/5 и П <а <3П/2
2)sin (П/4-а),если sin a= корень из 2/3 и П/2 <а <П
Ответы
Автор ответа:
0
I hope this helps you
Приложения:
Автор ответа:
0
what's the sina ?
Похожие вопросы
Предмет: Химия,
автор: yutina
Предмет: Алгебра,
автор: olesayfrolova2008
Предмет: Русский язык,
автор: ademakonyr
Предмет: Биология,
автор: omatvey56
Предмет: Математика,
автор: Аноним