Предмет: Математика,
автор: Димка1991
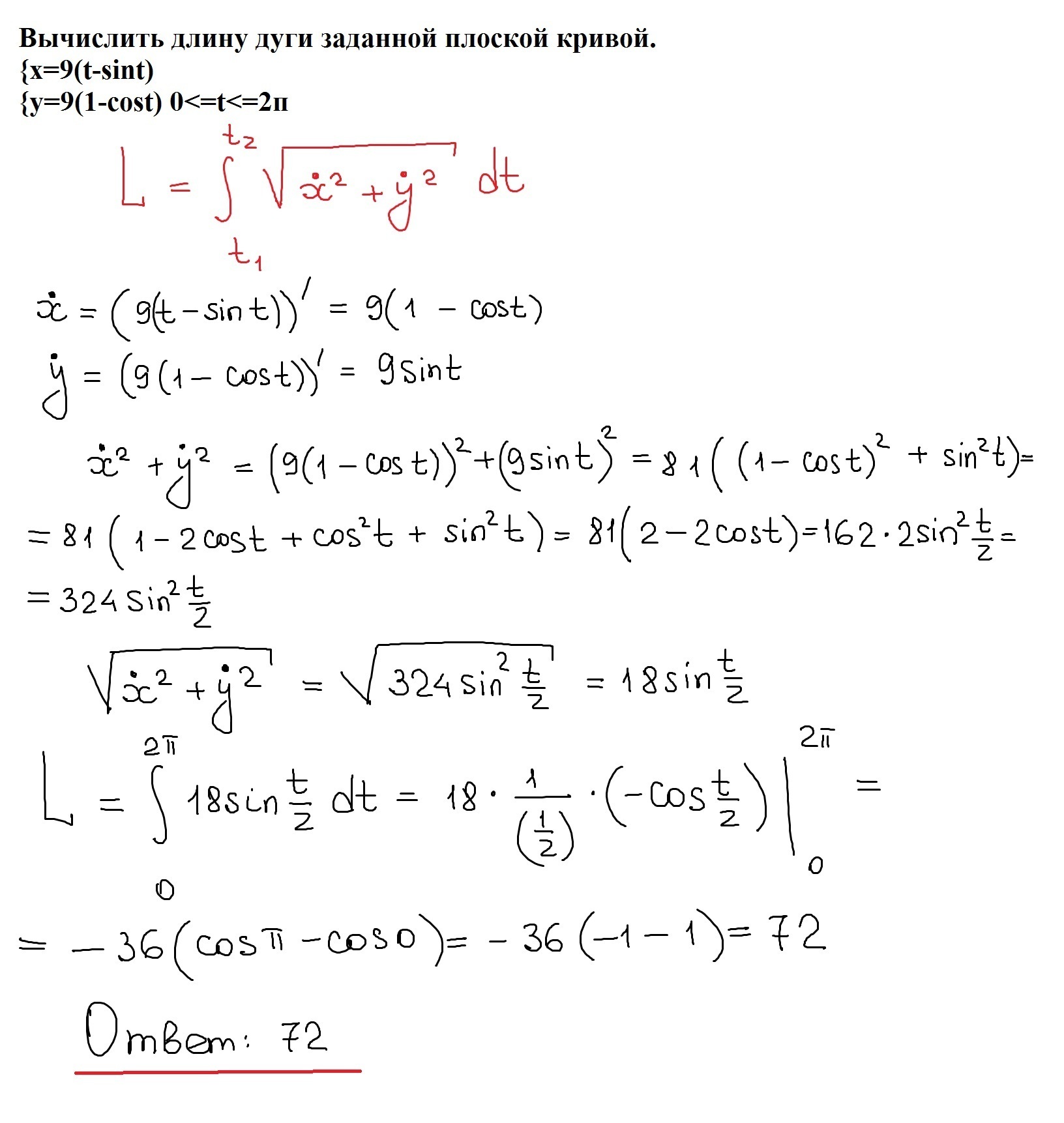
Вычислить длину дуги заданной плоской кривой.
{x=9(t-sint)
{y=9(1-cost) 0<=t<=2п
Ответы
Автор ответа:
0
смотри решение на фото
Приложения:
Похожие вопросы
Предмет: Математика,
автор: gonchareva02
Предмет: Английский язык,
автор: nuranemazanova7
Предмет: Математика,
автор: sonyakononchenko
Предмет: Математика,
автор: нина136