Предмет: Математика,
автор: mrscom
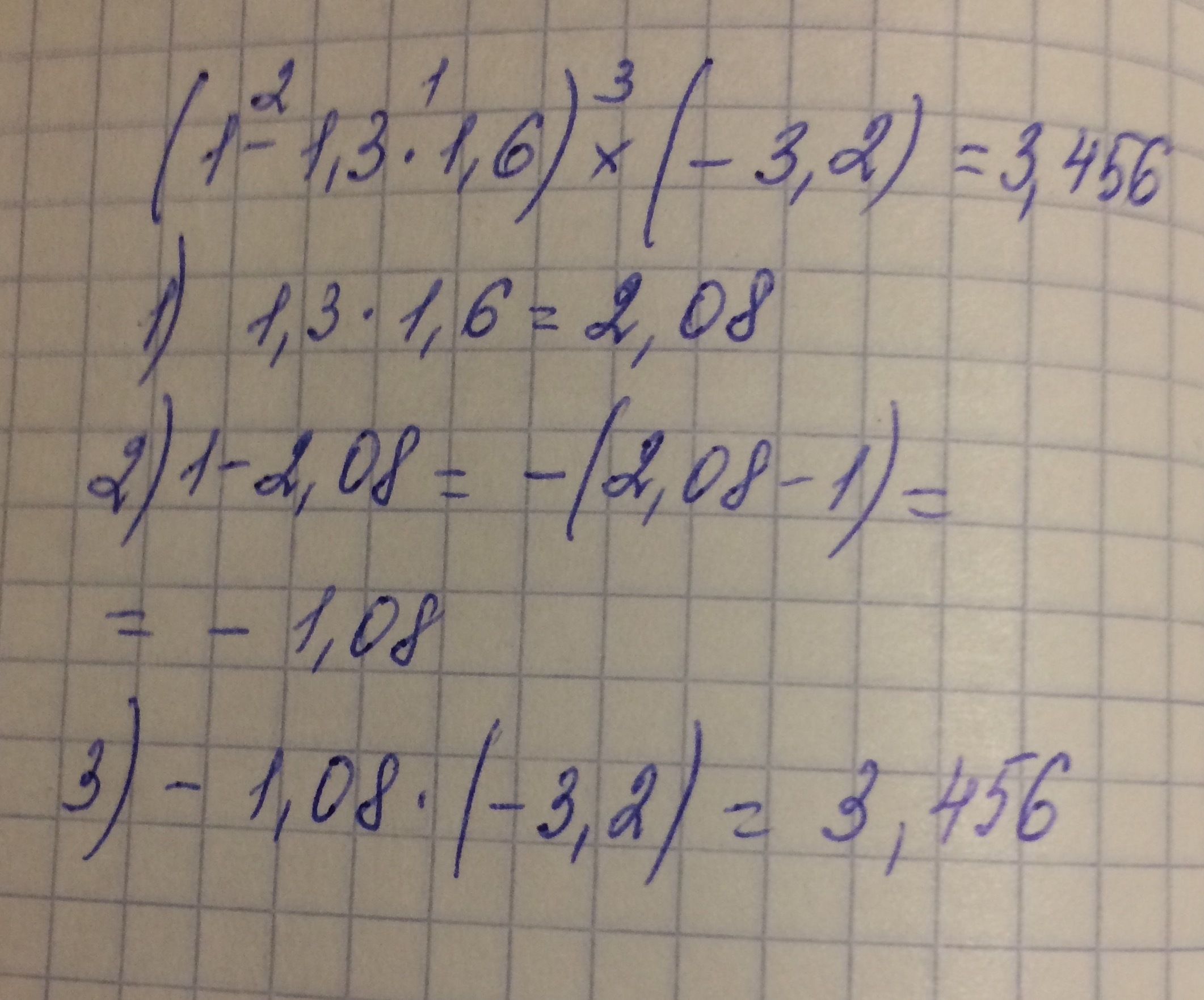
(1 − 1,3 × 1,6) × (−3,2)
Ответы
Автор ответа:
0
(1-2,08)*(-3,2)=
=(-1,08)*(-3,2)=
=3,456
=(-1,08)*(-3,2)=
=3,456
Автор ответа:
0
Смотри фото ниже думаю так
Приложения:
Похожие вопросы
Предмет: Литература,
автор: yoonbum28
Предмет: Физика,
автор: anastasiashuk
Предмет: География,
автор: fominairina281998
Предмет: Химия,
автор: tolstovMY