Предмет: Алгебра, автор: 66денчик

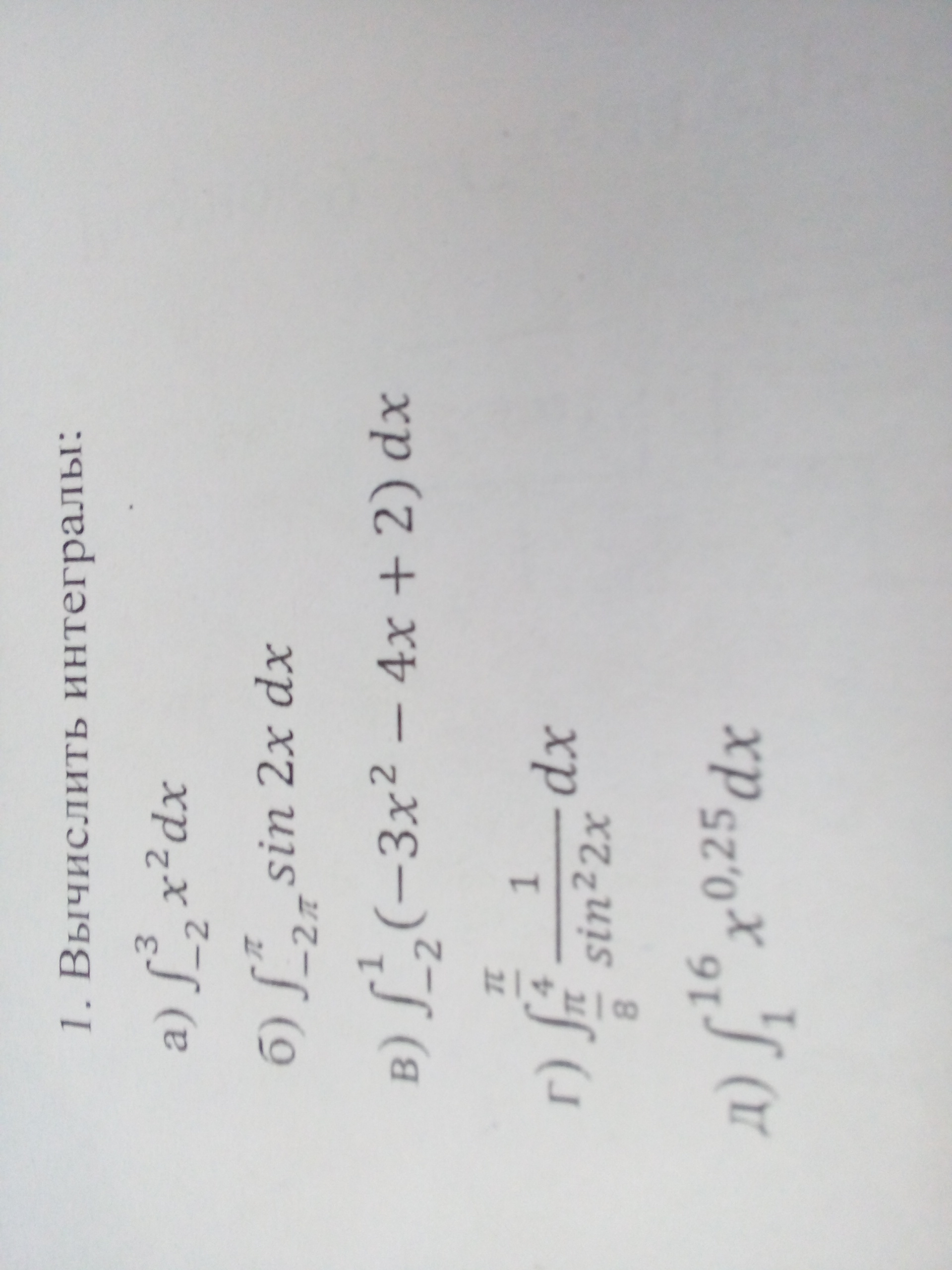
Вычислите интегралы : (на фото)

Приложения:

Ответы

Автор ответа: moboqe
0
\ int_{-2}^{3}x^2{mathrm dx}={1over3}x^3|_{-2}^{3}={1over3}(27+8)={35over3}\\ int_{-2pi}^{pi}sin{2x}{mathrm dx}={1over2}int_{-2pi}^{pi}sin{2x}{mathrm d{2x}}=-{1over2}cos{2x}|_{-2pi}^{pi}=-{1over2}(cos{2pi}-cos{(-4pi)}=0\ \ int_{-2}^{1}left ( -3x^2-4x+2 right ){mathrm dx}=-x^3|_{-2}^{1}-2x^2|_{-2}^{1}+2x|_{-2}^{1}=-9+6+6=3\\ int_{piover8}^{piover4}{1over sin^2{2x}}{mathrm dx}={1over2}int_{piover8}^{piover4}{1over sin^2{2x}}{mathrm d{2x}}=-{1over2}ctg{2x}|_{piover8}^{piover4}=-{1over2}left ( ctg{piover2}-ctg{piover4} right )={1over2}\\
\ int_{1}^{16}x^{0,25}{mathrm dx}={x^{1,25}over1,25}|_{1}^{16}={4over5}left ( sqrt[4]{16^5} -sqrt[4]{1} right )={4over5}left ( sqrt[4]{({2^{5})}^4} -sqrt[4]{1} right )={4over5}(2^5-1)={4over5}cdot31=24,8\

Похожие вопросы
Предмет: Қазақ тiлi, автор: rinakaterina51
Предмет: Английский язык, автор: 777anonim228