Предмет: Алгебра,
автор: дана334
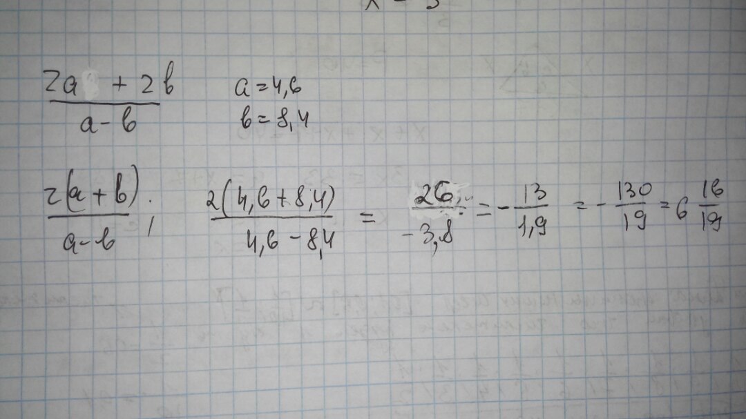
(a2+b2):(a-b) при a=4,6, b=8,4
Ответы
Автор ответа:
0
смотри получается не целое но разберешься
Приложения:
Похожие вопросы
Предмет: Химия,
автор: XTO000o
Предмет: Алгебра,
автор: 2408milan45a
Предмет: Алгебра,
автор: Аноним
Предмет: Математика,
автор: барсиккати
Предмет: Математика,
автор: лизок2006