Предмет: Математика,
автор: Tanyshkaprozor
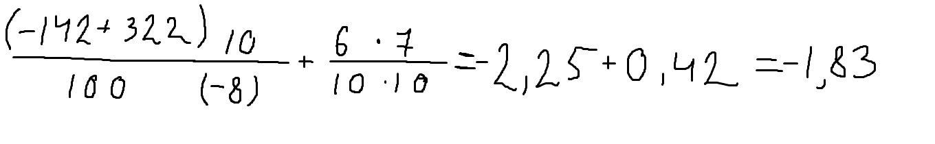
Помогите срочно третий номер
Приложения:
Ответы
Автор ответа:
0
---------------------------------------------------------------------------------------------------------Ответ
---------------------------------------------------------------------------------------------------------
---------------------------------------------------------------------------------------------------------
Приложения:
Похожие вопросы
Предмет: Геометрия,
автор: rahmanovdarhan18
Предмет: Математика,
автор: lemeskoksenia081
Предмет: Английский язык,
автор: viralapina
Предмет: Математика,
автор: Маша200311
Предмет: География,
автор: mariyat1980