Предмет: Геометрия,
автор: ewe98
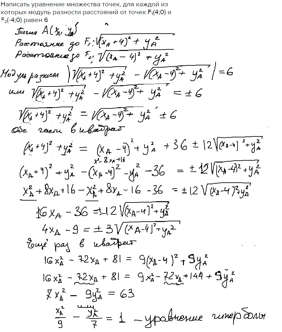
Написать уравнение множества точек, для каждой из которых модуль разности расстояний от точек F₁(4;0) и F₂(-4;0) равен 6
Ответы
Автор ответа:
0
Можно сразу догадаться, что это - уравнение гиперболы.
Но раз сказано вывести, то помучаемся в свое удовольствие
Но раз сказано вывести, то помучаемся в свое удовольствие
Приложения:
Похожие вопросы
Предмет: Математика,
автор: juliadobr86
Предмет: Биология,
автор: liliakuznecova09
Предмет: Математика,
автор: lizaa89
Предмет: Литература,
автор: Маша00001
Предмет: Математика,
автор: lean1500