Предмет: Математика,
автор: Sool000
#585, #586
Помогите пожалуйста)
Приложения:
Ответы
Автор ответа:
0
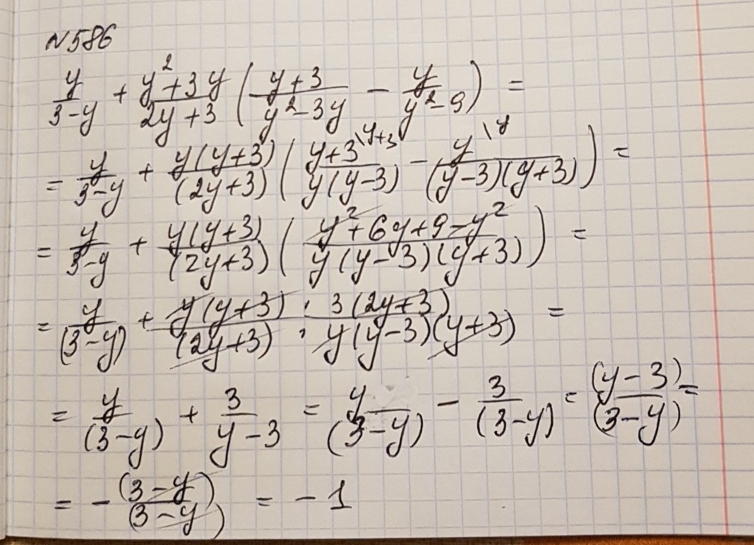
585 нет на фото,а решение 586 смотри на фотографии
Приложения:
Похожие вопросы
Предмет: Геометрия,
автор: yanaboreiko12
Предмет: Биология,
автор: Аноним
Предмет: Алгебра,
автор: maksimkovalev039
Предмет: Математика,
автор: Hadija3871