Предмет: Алгебра,
автор: bona0402
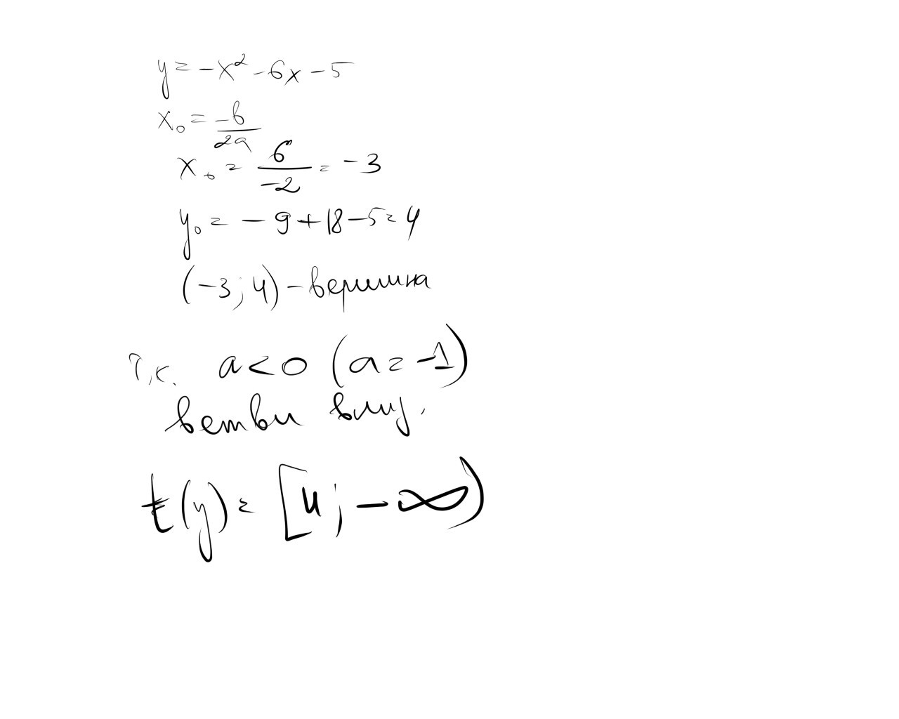
Найдите область значений функции y= -x²-6x-5
Ответы
Автор ответа:
0
йоу собаки я наруто узумаки
Приложения:
Похожие вопросы
Предмет: Қазақ тiлi,
автор: nurhanserzanov
Предмет: История,
автор: medinaonlineschool
Предмет: Математика,
автор: gulgaziastana
Предмет: Математика,
автор: 1234567870
Предмет: Математика,
автор: flowerssssss