Предмет: Алгебра,
автор: Аноним
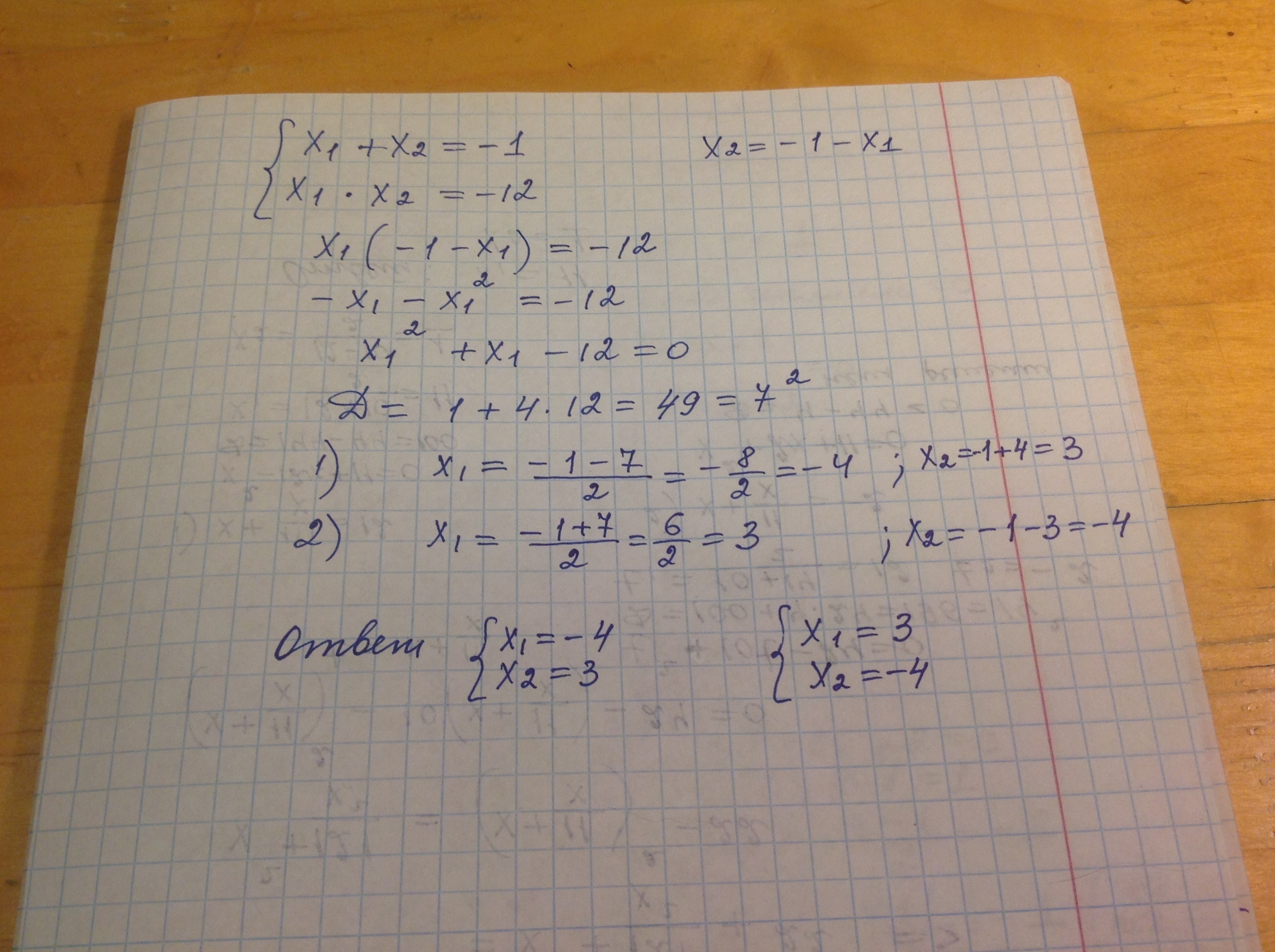
Х1+Х2=-1
Х1*Х2=-12
Х1=
Х2=
Помогитееее
Дам 59 баллов
Ответы
Автор ответа:
0
1)х1=-4
х2=3,
2)х1=3
х2=-4
Сдесь может быть два варианта ответа
х2=3,
2)х1=3
х2=-4
Сдесь может быть два варианта ответа
Автор ответа:
0
Решение смотри на фото
Приложения:
Похожие вопросы
Предмет: Алгебра,
автор: erhova60ru88
Предмет: Алгебра,
автор: adventuretimm
Предмет: Математика,
автор: kroubrst192
Предмет: Математика,
автор: алина740
Предмет: Математика,
автор: Сонечка0987654321