Предмет: Геометрия,
автор: aLendogozh
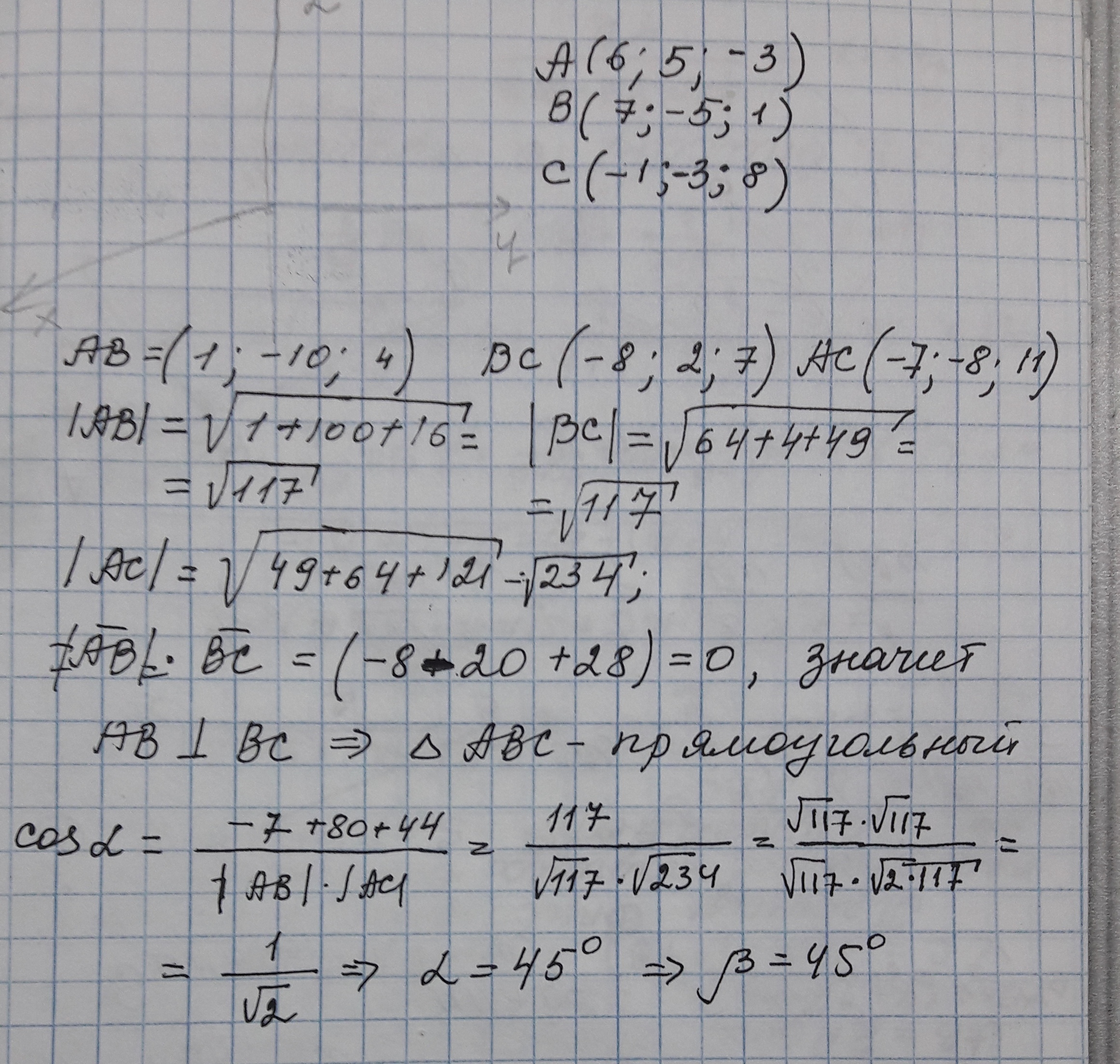
Заданы вершины треугольника A(6;5;-3;), B(7;-5;1) И C (-1;-3;8). Докажите что этот треугольник прямоугольный и найдите косинусы его острых углов
Ответы
Автор ответа:
0
вектора перпендикулярны, если их скалярное произведение равно нулю
Приложения:
Похожие вопросы
Предмет: Алгебра,
автор: Аноним
Предмет: Математика,
автор: Аноним
Предмет: Русский язык,
автор: mahambetkzyakniet
Предмет: Алгебра,
автор: jake1479
Предмет: Алгебра,
автор: pati1poty