Предмет: Математика,
автор: Стив11234589012
срочно
решить уравнение
Приложения:
Ответы
Автор ответа:
0
1) x= 0.8 5) m= 4
2) x= 3 6) z= 2 1/2 или 2.5
3) x=1 1/2 или 1.5 7) x= 2.8
4) x= -0.5
2) x= 3 6) z= 2 1/2 или 2.5
3) x=1 1/2 или 1.5 7) x= 2.8
4) x= -0.5
Автор ответа:
0
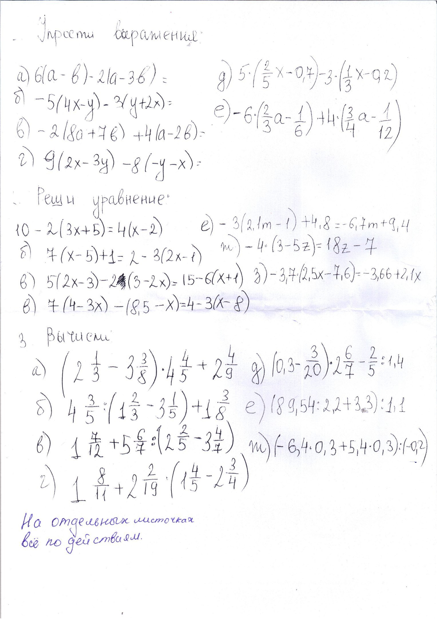
а) 10-2*(3х+5)=4(х-2)
10-6х-10=4х-8
-6х-4х=-8+10-10
-10х=-8
х=-8:(-10)
х=0,8
б) 7(х-5)+1=2-3(2х-1)
7х-35+1=2-6х+3
7х+6х=2+3+35-1
13х=39
х=39:13
х=3
в) 5(2х-3)-2(3-2х)=15-6(х+1)
10х-15-6+4х=15-6х-6
10х+4х+6х=15-6+15+6
20х=30
х=30:20
х=1,5
в) 7(4-3х)-(8,5-х)=4-3(х-8)
28-21х-8,5+х=4-3х+24
-21х+х+3х=4+24-28+8,5
-17х=8,5
х=8,5:(-17)
х=-0,5
е) -3(2,1м-1) +4,8=-6,7м+9,4
-6,3м+3+4,8=-6,7м+9,4
-6,3м+6,7м=9,4-3-4,8
0,4м=1,6
м=1,6:0,4
м=4
ж) -4(3-5z)=18z-7
-12+20z=18z-7
20z-18z=-7+12
2z=5
z=5:2
z=2,5
з) -3,7(2,5х-7,6)=-3,66+2,1х
-9,25х+28,12=-3,66+2,1х
-9,25х-2,1х=-3,66-28,12
-11,35х=-31,78
х=-31,78:(-11,35)
х=2,8
10-6х-10=4х-8
-6х-4х=-8+10-10
-10х=-8
х=-8:(-10)
х=0,8
б) 7(х-5)+1=2-3(2х-1)
7х-35+1=2-6х+3
7х+6х=2+3+35-1
13х=39
х=39:13
х=3
в) 5(2х-3)-2(3-2х)=15-6(х+1)
10х-15-6+4х=15-6х-6
10х+4х+6х=15-6+15+6
20х=30
х=30:20
х=1,5
в) 7(4-3х)-(8,5-х)=4-3(х-8)
28-21х-8,5+х=4-3х+24
-21х+х+3х=4+24-28+8,5
-17х=8,5
х=8,5:(-17)
х=-0,5
е) -3(2,1м-1) +4,8=-6,7м+9,4
-6,3м+3+4,8=-6,7м+9,4
-6,3м+6,7м=9,4-3-4,8
0,4м=1,6
м=1,6:0,4
м=4
ж) -4(3-5z)=18z-7
-12+20z=18z-7
20z-18z=-7+12
2z=5
z=5:2
z=2,5
з) -3,7(2,5х-7,6)=-3,66+2,1х
-9,25х+28,12=-3,66+2,1х
-9,25х-2,1х=-3,66-28,12
-11,35х=-31,78
х=-31,78:(-11,35)
х=2,8
Похожие вопросы
Предмет: Математика,
автор: dastansatybeko
Предмет: Английский язык,
автор: jaamila
Предмет: Алгебра,
автор: lol9126
Предмет: Математика,
автор: poxmetolog1
Предмет: Литература,
автор: КакойНик1