Предмет: Математика,
автор: 56983m
найдите число x
пожалуйста
Приложения:
Ответы
Автор ответа:
0
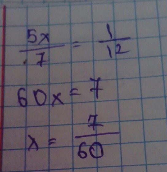
5х/7 = 1/12
5х*12=7*1
60х=7
х=7/60
ответ 4) другой ответ
5х*12=7*1
60х=7
х=7/60
ответ 4) другой ответ
Автор ответа:
0
По пропорции выражаем
Приложения:
Похожие вопросы
Предмет: Қазақ тiлi,
автор: kadishatoiymbek87
Предмет: Информатика,
автор: Sifect
Предмет: Математика,
автор: ula989554
Предмет: Экономика,
автор: кр1405
Предмет: Химия,
автор: Anuuusa