Предмет: Математика,
автор: timychyt
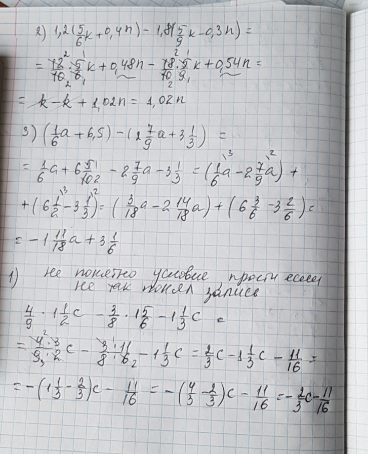
Упростите выражение
4/9 1 1/2 с-3/8 1 5/6-1 1/3с
1.2 (5/6k+0.4n)-1.8(5/9k-0.3n)
(1/6a+6.5)-(2 7/9a + 3 1/3)
30 БАЛЛОВ
Ответы
Автор ответа:
0
решение задания смотри на фотографии
Приложения:
Похожие вопросы
Предмет: Қазақ тiлi,
автор: asemde21
Предмет: Алгебра,
автор: odinokiy26
Предмет: Обществознание,
автор: Kejsmad
Предмет: Литература,
автор: csgodlapocanov
Предмет: Математика,
автор: линар546454