Предмет: Геометрия,
автор: miroslavaameri
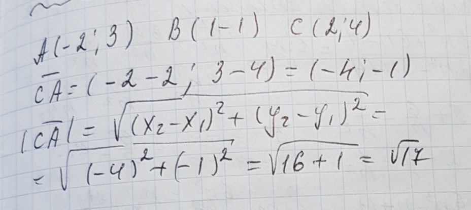
А( -2, 3), В (1,-1), С (2,4)
Найти модуль СА
Ответы
Автор ответа:
0
решение задания смотри на фотографии
Приложения:
Похожие вопросы
Предмет: Информатика,
автор: 77071099392ab
Предмет: Алгебра,
автор: hhfi31s73828283sjshu
Предмет: Другие предметы,
автор: vladislavkovtunovich
Предмет: Обществознание,
автор: Hjcn5
Предмет: Математика,
автор: Аккола1