Предмет: Алгебра, автор: sshasuka

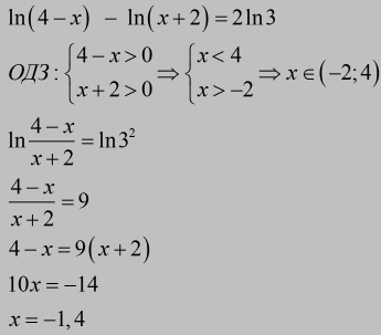
1. ln(4-x) - ln(x+2)=2ln3
2. log1/3(x^2 -4) < log1/3( -3x)
3. log61/x+3=0

Ответы

Автор ответа: vanoles
0
Решение первого ур-я привел ниже
Приложения:
Похожие вопросы
Предмет: Психология, автор: iramorozova60
Распределите в таблице предложенные приемы на прямые педагогические приемы и приемы косвенного воздействия:

использование игрушек и создание игровой обстановки; напоминание о прошлых играх детей, о том, что они видели; ролевое участие в игре, участие в сговоре детей, показ образца игрового действия, обогащение знаний детей об общественной жизни на занятиях, во время наблюдения на прогулке, в разговорах с детьми, беседах, при чтении книг, рассматривании картинок, иллюстраций; предложение готового сюжета игры, формирование знаний о структуре конкретной игровой деятельности, ее цели, средства, последовательность действий, результат, взаимодействие и взаимоотношения людей в процессе труда, распределение между ними обязанностей; предложение готовой темы игры, совет по ходу игры, разъяснение, беседа о содержании предстоящей игры, о распределении в ней ролей, помощь в распределении ролей, подборе игрушек, атрибутов, обучение ролевому поведению; организация изобразительной, трудовой, конструктивной деятельности, которая может подтолкнуть к игре.

прямые педагогические приемы

приемы косвенного воздействия
Предмет: Математика, автор: лошадь6