Предмет: Алгебра,
автор: Schanka
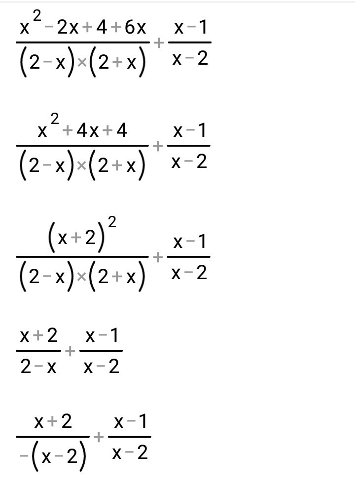
Значение выражения ((х^3+8)/(х+2)+6х):(4-х^2 )+(х-1)/(х-2) равно
Выберите один ответ:
a. 2-х b. х+2
c. 3/(2-х) d. 3/(2+х)
Ответы
Автор ответа:
0
Ответ на фото в красной рамочке
Приложения:
Похожие вопросы
Предмет: Русский язык,
автор: uliapantileeva15
Предмет: Физика,
автор: k8516661
Предмет: Английский язык,
автор: Аноним
Предмет: Литература,
автор: Levoncool
Предмет: Математика,
автор: AzizaGreen