Предмет: Математика,
автор: sss3009
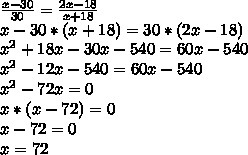
Из пунктов A и B одновременно навстречу друг другу выехали два велосипедиста и встретились в 30
км от B. Прибыв в A и B, они повернули обратно. Вторая встреча произошла в 18 км от A. Найдите расстояние между A и B. Дайте ответ в километрах.
Ответы
Автор ответа:
0
72км расстояние АВ..........
Приложения:
Похожие вопросы
Предмет: Алгебра,
автор: ghjkkhjghgjk
Предмет: Алгебра,
автор: Аноним
Предмет: Обществознание,
автор: mitrofanovasofa16
Предмет: Литература,
автор: лина070
Предмет: Обществознание,
автор: mazanovda