Предмет: Математика,
автор: Anashas
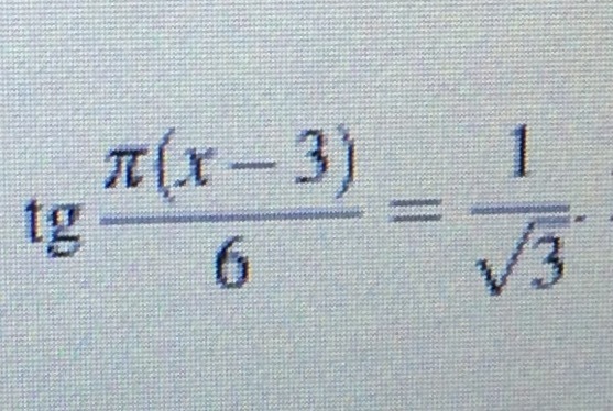
Решите пример пожалуйста
Приложения:
Ответы
Автор ответа:
0
решение задания смотри на фотографии
Приложения:
Похожие вопросы
Предмет: Алгебра,
автор: elenamamina4605
Предмет: Математика,
автор: ponomarenkok014
Предмет: Қазақ тiлi,
автор: Kairbekkuzierkezhan
Предмет: Математика,
автор: ksushakozak201
Предмет: Обществознание,
автор: lagosha19962