Предмет: Алгебра,
автор: Dimaseg
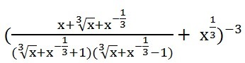
Упростить выражение (вложения):
Приложения:
Ответы
Автор ответа:
0
Решение смотри на фото
Приложения:
Похожие вопросы
Предмет: Физика,
автор: j6fa9bap6p
Предмет: Математика,
автор: koreanggggg
Предмет: Геометрия,
автор: diass95228
Предмет: Физика,
автор: Nastia339