Предмет: Алгебра,
автор: Ksuscha007
помогите пж
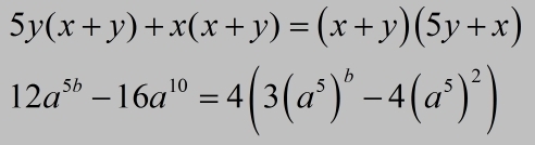
1. разложите на множители 12а^5b-16a^10; 5y(x+y)+x(x+y)
Ответы
Автор ответа:
0
Возможно в условии первого примера ошибка...?
Приложения:
Похожие вопросы
Предмет: География,
автор: fup11
Предмет: Қазақ тiлi,
автор: serikkazydilnaz
Предмет: Литература,
автор: khoruzhenkoe
Предмет: Литература,
автор: Лера200216