Предмет: Алгебра,
автор: Акико5
Помогите, плизззззз)))
Приложения:
Ответы
Автор ответа:
0
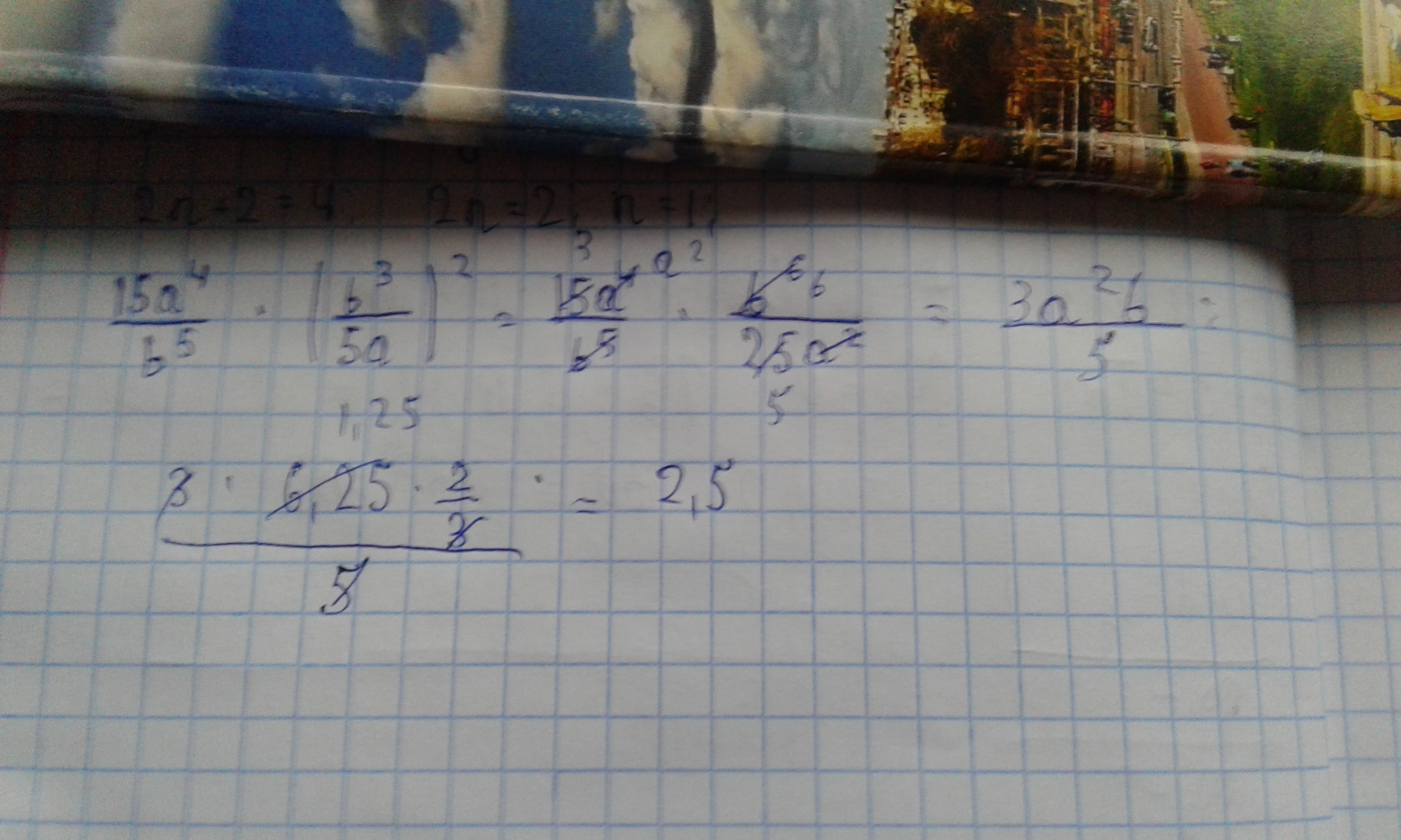
Типо решается по свойству степеней.
Приложения:
Похожие вопросы
Предмет: Русский язык,
автор: kakayaraznizhaktoya
Предмет: Математика,
автор: Аноним
Предмет: Українська мова,
автор: tokarchukvladimir503
Предмет: Химия,
автор: alinasun00
Предмет: Алгебра,
автор: yanaorlova199