Предмет: Алгебра,
автор: yourmathilda
Помогите, пожалуйста!!! Срочно!!! Даю 30 баллов!!!
Приложения:
Ответы
Автор ответа:
0
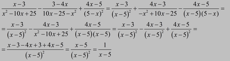
Данное выражение не может равняться нулю, так как в числителе не ноль!
Приложения:
Похожие вопросы
Предмет: Қазақ тiлi,
автор: daniilafanasyev2016
Предмет: Математика,
автор: vikaspinul2007
Предмет: Русский язык,
автор: lepeskivalerij
Предмет: История,
автор: mrfilinbran
Предмет: Литература,
автор: KOCTR1510