Предмет: Алгебра,
автор: daniilpynko
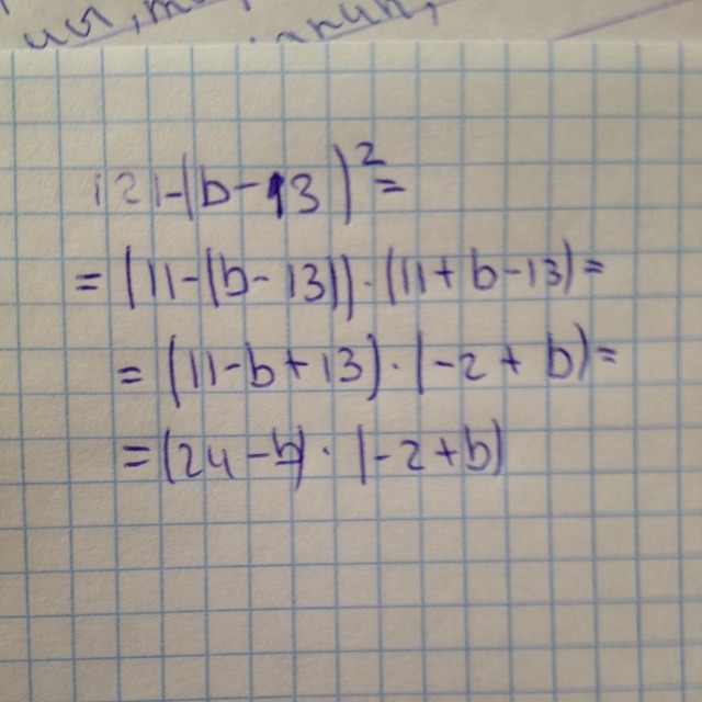
Пожалуйста, помогите разложить многочлен на множители с помощью формулы разности квадрата.
121-(b-13)²
Ответы
Автор ответа:
0
Задание решено...............
Приложения:
Похожие вопросы
Предмет: Русский язык,
автор: remir90259
Предмет: Математика,
автор: bekbolovbekzat8
Предмет: Алгебра,
автор: alimeuseinova01
Предмет: Математика,
автор: Светланка555
Предмет: Математика,
автор: zarinar73