Предмет: Алгебра,
автор: Vadimka444
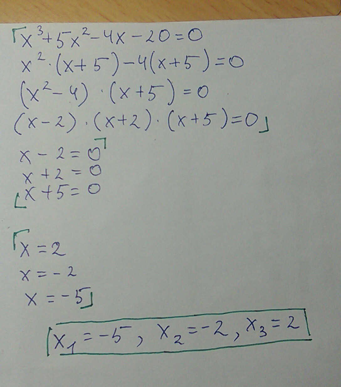
Пожалуйста помогите решить уравнение x³+5x²-4x-20=0
Ответы
Автор ответа:
0
Уравнение решается относительно.. Во вложении подробнее.
:D
:D
Приложения:
Похожие вопросы
Предмет: Қазақ тiлi,
автор: OMARYV
Предмет: Қазақ тiлi,
автор: Аноним
Предмет: Алгебра,
автор: masha9738
Предмет: География,
автор: Аноним
Предмет: Физика,
автор: marishakotjamary