Предмет: Алгебра,
автор: krokoko7
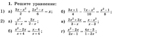
Подробно и письменно (8класс)
Приложения:
Ответы
Автор ответа:
0
ответ ответ ответ ответ ответ ответ ответ овтет
Приложения:
Похожие вопросы
Предмет: Алгебра,
автор: grinisinaolesa9
Предмет: Химия,
автор: HeKpblcaBratan
Предмет: Литература,
автор: ssssaraaan
Предмет: Обществознание,
автор: Bobby2014