Предмет: Алгебра,
автор: znatok44444
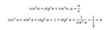
Упростить выражение и найти его значение Cos^2альфа+ctg^2альфа+sin^2альфа при альфа = пи/6
Ответы
Автор ответа:
0
___________________________
Приложения:
Похожие вопросы
Предмет: Математика,
автор: aidanaaubakirova0501
Предмет: Химия,
автор: leyla1691
Предмет: Алгебра,
автор: 77arina08
Предмет: Физика,
автор: irishkasencova
Предмет: История,
автор: екатерина192